
Here at Hope & Esperanza Community Health Center we are always accepting new patients. Regardless of whether you are sick or are simply due for a regular check-up, we are happy to welcome you to our office. We know going to the doctor can be a little overwhelming at times, so we are happy to provide you with our new patient forms ahead of time so that you can fill them out prior to your appointment and save you time during your visit.
Remember to bring a list of any medications you may currently be taking as well as any previous medical records you may want to provide. Our mission is to provide quality care to our patients, and we are happy to help you in any way we can. For more information or to request an appointment, contact us today at (973) 433-9773.
We accept many insurances, including Medicaid.
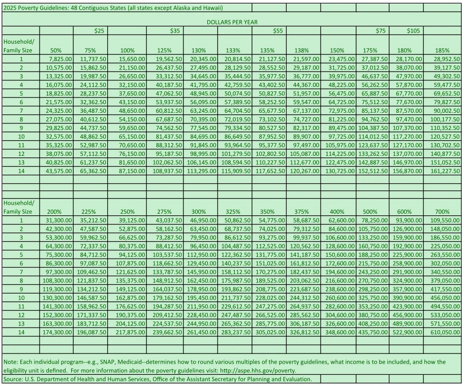
No one will be denied access to services due to inability to pay, and there is a discounted/sliding fee schedule available based on family size and income.
A nadie se le negará el acceso a los servicios por no poder pagar, y hay una tarifa reducida/móvil disponible según el tamaño de la familia y los ingresos.
Sliding Fee Schedule

